본문 바로가기

AndEngine7

AndEngine - 7 - Drawing a Sprite 스프라이트를 출력하는 예제인데 기존 AndEngine-Example 에서 이미지를 가져와 사용한다. assets 디렉토리 아래 gfx 디렉토리(다른 이름이어도 상관없다.)를 생성한 후 face_box.png 이미지를 복사하여 넣는다. Activity 의 onResume() 이 호출될 때, 즉, 최초 실행시 this.mGameLoaded 가 false 일때 onLoadResources() 메소드와 onLoadScene() 메소드가 호출된다. 이 메소드에서 스프라이트를 불러오는 작업을 처리한다. 먼저, 이전 사각형을 그리던 소스의 onLoadScene() 메소드와의 차이점을 살펴보자. @Override public Scene onLoadScene() { this.mEngine.registerUpdateHan.. 2011. 12. 12.
AndEngine - 6 - Drawing Rectangles Drawing Rectangles 예제 소스는 Drawing Lines 예제( 2011/12/02 - [프로그래밍/안드로이드] - AndEngine - 5 - Drawing Lines )와 큰 차이는 없다. 다만, onLoadScene() 에서 터치 관련 리스너를 등록하여, 사용자가 해당 씬을 터치할 경우 현재 화면을 캡춰하는 기능이 추가되어있다.(아래 anonymous class 영역) scene.setOnSceneTouchListener( new IOnSceneTouchListener() { @Override public boolean onSceneTouchEvent(final Scene pScene, final TouchEvent pSceneTouchEvent) { ... 생략 ... return .. 2011. 12. 6.
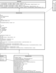
AndEngine - 5 - Drawing Lines 당분간 AndEngine Examples 에 있는 예제 소스들을 하나하나 살펴볼 생각인데, 관련 프로젝트를 계속해서 생성하는 것 보다 기존 샘플 프로젝트(2011/12/01 - [프로그래밍/안드로이드] - AndEngine - 2 - 샘플 프로젝트 생성)를 수정하고 지우는 식으로 테스트해볼까한다. 사실, 이렇게 블로그에 포스팅하는 것은 누군가를 가르치기 위한~ 거창한 목표 때문이 아니고, 일종의 호사스런 학습일지라고보면 된다. 그 말인 즉슨~ 자바도 잘 모르고, 안드로이드도 잘 모르고 심지어 OpenGL 도 잘 모른다는 뭐 그런 얘기다.(내 전공은 Object Pascal & VCL...) 일단, Jude Community 등을 통하여 AndEngine 의 자바소스들을 Import 하여 클래스 다이어그램.. 2011. 12. 2.
AndEngine - 4 - Examples AndEngine Examples 의 소스를 다음 경로에서 체크아웃한다. https://code.google.com/p/andengineexamples/ 이전 글 (2011/12/01 - [프로그래밍/안드로이드] - AndEngine - 3 - Extensions 추가하기) 과 같은 절차로 프로젝트를 Import 한다. Extension 들이 정상적으로 연결되었는지 확인한다. 정상적으로 모두 빌드되었으면 에뮬레이션 또는 안드로이드 폰에서 apk 를 설치하고 실행한다. 다음은 갤럭시 S2 에서 Examples 를 실행하였을때 모습이다. Benchmarks 의 Sprite Benchmark 를 실행한 화면~ 상세한 개발 문서는 존재하지 않지만, 예제만으로도 충분히 학습이 가능할 것으로 판단된다. 2011. 12. 1.
AndEngine - 3 - Extensions 추가하기 AndEngine Examples 를 빌드하기 위해서는 Extensions 들을 추가하여야한다. 먼저, hg 소스 서버에서 각 프로젝트들을 체크아웃한다. 경로는 다음과 같다. https://code.google.com/p/andenginelivewallpaperextension/ https://code.google.com/p/andenginemodplayerextension/ https://code.google.com/p/andenginemultiplayerextension/ https://code.google.com/p/andenginemultitouchextension/ https://code.google.com/p/andenginephysicsbox2dextension/ https://code.go.. 2011. 12. 1.
AndEngine - 2 - 샘플 프로젝트 생성 안드로이드 프로젝트를 생성한다. Build Target 은 진저브레드(2.3.3)로 선택하였다. 사용할 Application Name, Package Name 을 정한 후 Finish 버튼을 클릭한다. lib 폴더를 추가한다. 생성해둔 andengine.jar 파일을 해당 경로에 복사하여 넣은 다음 새로고침(F5)한다. jar 파일 생성은 이전 글을 참고한다. 2011/12/01 - [프로그래밍/안드로이드] - AndEngine - 1 - andengine.jar 생성하기 Package Explorer 에서 andengine.jar 파일을 선택한 후, 마우스 우클릭한 다음 Build Path -> Add to Build Path 를 실행한다. 소스를 다음과 같이 수정한다.(Activity 교체, 생성자 .. 2011. 12. 1.
AndEngine - 1 - andengine.jar 생성하기 AndEngine 은 오픈소스(LGPL) 기반의 안드로이드용 OpenGL 2D 게임 엔진으로 http://www.andengine.org/ 에서 관련 정보를 확인할 수 있다. 윈도우즈 사용자라면 Tortoisehg 등을 사용하여 아래 저장소에서 체크아웃하면 된다. hg clone https://code.google.com/p/andengine/ 소스를 모두 받았다면 해당 라이브러리를 빌드하여 jar 파일을 생성하자. 1. jar 파일 생성 이클립스에서 File -> Import 를 실행한 후, General 항목의 Existing Projects into Workspace 를 선택한다. AndEngine 소스가 위치하는 디렉토리를 지정한 후, Finish 버튼을 클릭한다. 다음과 같은 에러가 발생하면, .. 2011. 12. 1.